Contents
1. 실수 형태의 푸리에 급수에서 복소 형태로의 전환 (Transformation from Real Form to Complex Form)
- 오일러 항등식(Euler's Identity)을 이용해서 실수 형태로 표현된 푸리에 급수를 복소수를 포함한 형태로 전환하는 과정에 대해 살펴보겠습니다.
2. 복소지수함수를 포함한 푸리에 계수의 결정 (Determinant of Fourier Coefficient in the form of Complex Number)
- 오일러 항등식을 이용하면 자연상수를 포함한 형태로 푸리에 급수가 표현됩니다. 이때 표현되는 푸리에 계수를 내적(Inner Product)를 이용해서 구하는 방법에 대해 살펴볼 것입니다. 실수 형태의 푸리에 급수와 동일하게 직교성을 활용하여 구하는 것을 확인할 수 있을 것입니다.
1. 실수 형태의 푸리에 급수에서 복소 형태로의 전환 (Transformation from Real Form to Complex Form)
물리학을 다룰 때, 복소수를 차용해서 수식을 표현하는 경우가 많이 있습니다. 오일러 항등식(Euler's Identity)은 실수와 복소수 사이의 관계를 표현하는 대표적인, 그리고 가장 유명한 항등식입니다. 이 수식은 다음과 같습니다.

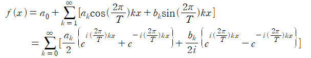
푸리에 급수를 다시 한 번 살펴보겠습니다.

푸리에 급수는 삼각함수의 조합을 통해서 어떠한 함수를 비슷하고, 계산에 용이하게 바꾸어 표현하기 위해 정의되었습니다. 그렇기에 그 식은 코사인 함수와 사인 함수를 포함합니다. 오일러 항등식을 변형해서 코사인 및 사인 함수를 자연상수를 이용해서 표현한다면 실수 형태로 정의된 푸리에 급수를 허수를 포함한 형태로 바꾸어 표현할 수 있게 될 것입니다.
$\theta$에 $-\theta$를 대입하면 오일러 항등식의 파생 형태를 얻을 수 있으며, 이를 이용하면 코사인과 사인에 대한 식을 얻어낼 수 있습니다. 약간의 연립방정식만 풀이하면 되므로 중간 계산 과정은 생략하겠습니다. 새롭게 얻은 관계를 표현하면 아래와 같습니다.

이를 이용해서 푸리에 급수에서 사용된 삼각함수를 자연상수의 형태로 먼저 변환하겠습니다. 결과는 다음과 같습니다.

위의 관계를 이용해서 실수 형태의 푸리에 급수의 변환을 시작하겠습니다.

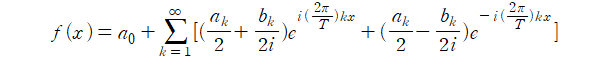
동일한 지수함수 형태끼리 식을 묶어주어 정리할 수 있습니다.

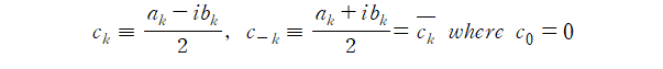
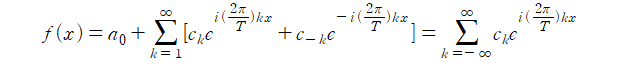
편한 표기를 위해서 지수함수 앞의 계수를 $c_k$로 정의하겠습니다. 이를 푸리에 계수라고 생각할 수 있고, 그 관계는 다음과 같습니다.

이때 두 푸리에 계수는 켤레복소수(Conjugate Complex Number)입니다. 위의 푸리에 급수를 하나의 항으로 표현할 수 있는데, 이는 다음과 같습니다.

즉, 단 하나의 복소지수함수를 기저해로 갖고, 푸리에 계수 $c_k$의 가중치를 반영한 선형 조합의 형태로 표현할 수 있음을 뜻합니다. 두 푸리에 급수의 형태는 상이해보이지만, 어떠한 표현 기법을 기준으로 했냐의 차이일 뿐 식이 같는 의미는 동일합니다.
2. 복소지수함수를 포함한 푸리에 계수의 결정 (Determinant of Fourier Coefficient in the form of Complex Number)
우리는 이미 $a_k$와 $b_k$를 구하는 방법을 알고 있으므로, 사칙연산을 통해 $c_k$도 얻어낼 수 있긴 합니다. 다만 해당 방법은 번거롭습니다. 그렇기에 복소 형태의 푸리에 급수로부터 바로 푸리에 계수를 얻는 방법에 대해 살펴보고자 합니다. 실수 형태의 푸리에 계수 결정과 동일하게 내적을 활용하게 되며, 복소지수함수의 직교성을 이용합니다.
1) 복소지수함수의 내적 (Inner Prodcut of Exponential Complex Function)
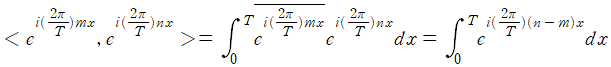
기존에는 실수 형태에 대해만 내적을 했기에 내적을 엄밀하게 표현하지는 않았습니다. 하지만 허수를 포함한 내적을 진행할 때에는 켤레 복소수를 이용해서 내적을 진행해야 하며, 그 식은 다음과 같습니다.

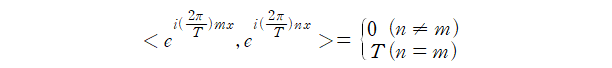
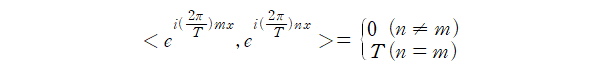
이를 이용해서 허수를 포함한 지수함수의 직교성을 살펴보겠습니다.

이때 $n=m$이면 적분 결과가 $T$가 나오는 것은 쉽게 확인할 수 있습니다. 그렇기에 서로 다른 두 지수함수를 내적했을 때의 과정만 같이 살펴보겠습니다.
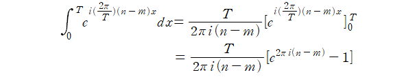
$n\neq m$이라면 적분을 계속 진행할 수 있습니다.

이때 계산 결과를 알기 위해 오일러 항등식에 $\theta = 2\pi(n-m)$을 대입해볼 수 있습니다.

이때 $n, m$이 서로 다른 정수이므로 코사인은 항상 1로, 사인은 항상 0으로 계산되는 것을 확인할 수 있으므로 , 해당 지수 값은 항상 1입니다. 따라서 내적 결과 0이며, 서로 다른 두 복소지수함수는 직교한다는 것을 알 수 있습니다. 내적의 결과를 요약하겠습니다.

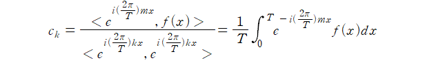
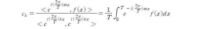
2) 푸리에 계수 $c_k$의 결정
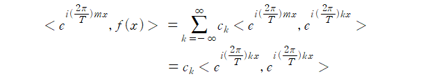
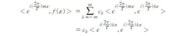
복소지수함수의 직교성을 이용해서 푸리에 계수를 결정하겠습니다. 앞서 이야기했듯, 내적의 목적은 직교성을 활용해 하나의 항을 제외한 나머지 항들은 모두 0이 되도록 하는 것입니다. 내적의 결과는 다음과 같습니다.

이때 $m=k$인 경우를 제외한 모든 내적의 결과가 0이 되기 때문에 시그마 기호가 소거되고, 단 하나의 내적값만 얻을 수 있습니다. 이 결과를 정리하면 푸리에 결과를 얻을 수 있습니다.

이로써 우리는 허수를 포함한 형태로 푸리에 급수를 표현할 수 있게 되었습니다. 그 형태를 다시 한번 요약해보고 마치려고 합니다.

'전공 개념.zip > 편미분방정식 (PDE's)' 카테고리의 다른 글
| 6. 푸리에 변환 (Fourier Transformation) (1) | 2022.05.12 |
|---|---|
| 5. 푸리에 적분 (Fourier Integral) (1) | 2022.05.04 |
| 3. 우함수/기함수에 대한 푸리에 급수와 반구간 확장 (Fourier Series of Even/Odd Function and Half Range Expansion) (0) | 2022.05.01 |
| 2. 푸리에 급수 (Fourier Series) (0) | 2022.04.30 |
| 1. 푸리에 급수 개괄 및 삼각함수의 특성 (Introduction to Fourier Series and Properties of Trigonometric Function) (0) | 2022.04.30 |