
간단한 2차 ODE를 풀어보며 해의 존재성과 유일성을 이해해보고, 미분방정식에서의 조건설정을 살펴보겠습니다.
고등학교 시절 미적분을 공부할 때, 주로 수직선상에 위치한 물체의 운동을 다룹니다. 이를 위해 $x(t)$를 위치함수를 두고 속도함수 $x’(t)$, 그리고 가속도함수 $x’’(t)$에 대해 생각해본 적이 있을 것입니다. 해당 물체가 수직선상에서 가속도를 갖지 않는 등속도 운동을 한다고 생각해보겠습니다. 그러면 가장 단순한 2차 ODE를 세울 수 있으며, 이를 풀이할 수 있습니다.

해가 존재한다는 것은 위처럼 적분을 해서 미분방정식을 풀어 해를 구할 수 있음을 의미합니다. 하지만 이 해는 아직 유일하지 않습니다. $C_1$과 $C_2$의 적분상수가 존재하기 때문입니다. 2개의 미지수를 정하기 위해서 2개의 조건이 필요합니다.
(1) 초기조건(IC)을 이용한 유일한 해 결정
초기조건이 다음과 같이 제시되어 있다고 생각했을 때 적분상수들을 쉽게 결정할 수 있습니다.

이는 우리가 배웠던 등속도 운동을 하는 물체의 수직선상에서의 위치인 것을 알 수 있습니다.
(2) 경계조건(BC)를 이용한 유일한 해 결정
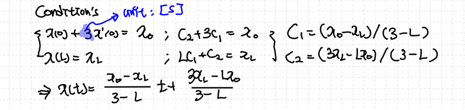
미지수의 개수만큼 조건이 있어야 미지의 정보를 결정할 수 있다는 것은 잘 알려져 있습니다. 이는 조건이 초기조건의 형태를 갖지 않더라도 해가 유일하게 결정될 수 있음을 뜻합니다. 경계조건(BC)를 이용해서도 해의 유일함을 결정할 수 있습니다. 초기조건에 시간에 중점을 두는 반면 경계조건은 대상의 위치를 표현하는 조건들입니다. 경계조건이 아래와 같을 때 마찬가지로 적분상수를 쉽게 결정할 수 있고, 유일한 해를 결정할 수 있습니다.

경계조건을 이용한 유일한 해의 결정은 보통 편미분방정식(PDE)에서 주로 사용됩니다. 추후 PDE를 다룰 때 경계조건에 대해 조금 더 이야기해보도록 하겠습니다.
조건의 종류가 해의 유일성을 결정하는데 중요한 것이 아닙니다. 조건의 ‘개수’가 중요한 것입니다. 미분방정식이 풀어지는 조건의 형태는 제한적이지만, 단순히 상미분방정식이 꼭 초기조건만으로만 유일한 해가 결정되는 것이 아님을 강조하고 싶었습니다. 대개 n차 상미분방정식의 경우 풀이하는 과정에서 n개의 적분상수가 생길 것임을 생각할 수 있기에 n개의 조건을 부여해야 유일한 해가 결정됩니다.
조금 더 구체적으로 생각해보면 $C_1$은 1번 미분된 해에서 나타나는 적분상수이고, $C_2$는 0번 미분된 해에서 나타나는 적분상수 이기 때문에 $C_1$에 대한 조건만 제시되지 않는 한 유일한 해를 결정할 수 있을 것입니다.
(3) 조건 조합을 이용한 유일한 해 결정
그렇다면 초기조건과 경계조건의 선형조합에 의해 제시된 조건도 미분방정식의 해를 유일하게 결정할 수 있는지에 대해 살려보겠습니다.

마찬가지로 유일한 해를 결정할 수 있습니다.
물체의 거동을 설명하는 미분방정식은 동일하더라도, 조건을 어떻게 부여함에 따라 나타나는 해의 형태는 다양합니다. 그래서 미분방정식에서 조건의 설정은 매력적인 행위입니다. 문제풀이를 할 때에는 조건에 대해 많이 고민하는 경우는 없을 것입니다만, 조건은 위의 이유 때문에 제시되었음을 생각해볼 수 있다고 기대합니다.
'전공 개념.zip > 상미분방정식 (ODE's)' 카테고리의 다른 글
| 6. 특성방정식과 상수 계수를 갖는 제차 2차 선형 상미분방정식의 풀이 (0) | 2022.03.14 |
|---|---|
| 5. 라그랑쥐의 차수축소법 (0) | 2022.03.13 |
| 4. 2차 선형 상미분방정식의 전반적인 개념 (0) | 2022.03.11 |
| 3. 1차 선형 상미분방정식 (2) 라플라스 변환의 적용 (1) | 2022.03.10 |
| 2. 1차 선형 미분방정식의 풀이 (1) (0) | 2022.03.09 |