
Contents
1. 상수계수를 갖는 2차 제차 선형 상미분방정식의 형태 (Homogeneous 2nd order linear ODE with Constant Coefficient)
2. 특성방정식(Characteristic Equation)과 상수계수를 갖는 2차 제차 선형 상미분방정식의 풀이 (Characteristic Equation and Solving Homogeneous 2nd order linear ODE with Constant Coefficient)
3. 특성방정식에 따른 해의 형태 구분 (Classification of Solution)
2차 ODE를 풀이하기 위해서는 우선 제차 2차 ODE를 풀이할 수 있어야 합니다. 우선 상수 계수를 갖는 제차 2차 선형 ODE를 어떻게 풀이하는 지를 알아보고자 합니다. 그 과정에서 정의되는 특성방정식(characteristic equation)의 형태에 대해서도 살펴보겠습니다. 이는 상미분방정식을 풀이하는 데에도 기본적으로 할 수 있어야 하는 계산이고, 심지어 편미분방정식을 풀이하는 데에도 사용됩니다. 그렇기에 처음 공부할 때 잘 기본을 다져야 할 필요가 있습니다.
1. 상수계수를 갖는 2차 제차 선형 상미분방정식의 형태 (Homogeneous 2nd order linear ODE with Constant Coefficient)
1) 정의에 따른 표현
상수계수를 갖는 2차 제차 선형 상미분방정식은 선형 상미분방정식의 정의로부터 표현될 수 있습니다.

이 상미분방정식이 2차라고 주어졌기 때문에 $a_2≠0$이고, 이를 이용해서 식을 정리한 것입니다.
2) 미분연산자(Differential Operator, $D$)를 이용한 표현
미분연산자는 미분기호를 보다 편하게 작성하기 위해 정의되었습니다. 미분연산자의 형태와 이를 이용해서 미분방정식을 표현할 수 있습니다.

미분연산자를 이용하면 마치 대수식처럼 미분방정식을 표현할 수 있습니다. 미분연산자의 차수를 보고 주어진 상미분방정식의 차수도 쉽게 파악할 수 있습니다.
** 여담이지만, 연산자(Operator)는 특정 물성값(observation)을 관찰하기 위해 취하는 도구입니다. 여기서 어떤 변수 $y$에 미분연산자의 조합 $D^2+aD+b$를 취하는 것은 해당 변수의 2차 상미분방정식을 얻어내겠다는 것과 같은 의미입니다.
2. 특성방정식(Characteristic Equation)과 상수계수를 갖는 2차 제차 선형 상미분방정식의 풀이 (Characteristic Equation and Solving Homogeneous 2nd order linear ODE with Constant Coefficient)
이제 어떻게 제차 2차 ODE를 풀이하는지 살펴보겠습니다. 우선 전반적인 풀이 순서를 먼저 보여주고, 각 단계에 대한 부가적인 설명을 하겠습니다.

Step 1 $y=e^{λt}$를 해로 설정합니다.
이렇게 해를 두는 이유를 논의하는 것은 꽤 어려운 일입니다. 이해를 돕기 위해 조금만 설명만 드리겠습니다. 보통 자연상수를 밑으로 하는 지수함수는 미분해도 형태를 거의 유지하고, 형태에 따라 계수에만 변화가 있을 뿐입니다. 그래서 $y=e^{λt}$를 해로 두면 추후 계산을 더 편리하게 진행할 수 있습니다.
Step 2 $y=e^{λt}$를 주어진 미분방정식에 대입한 후 식을 정리해서 대수방정식을 얻어냅니다.
우리가 $y=e^{λt}$를 해로 두었기 때문에 주어진 미분방정식에 대입해도 무방합니다. 지수형태가 그대로 남지만, 모든 항에 지수항이 있고, 이는 항상 양수이기에 나누어 소거할 수 있습니다. 마저 정리하면 대수방정식(Algebric Equation, AE)를 얻을 수 있습니다.

정리 결과 얻은 식 $λ^2+aλ+b$을 특성방정식(characteristic eqn)또는 보조방정식(auxiliary eqn)이라고 합니다. 이는 λ에 대한 2차 방정식이고, 판별식의 결과에 따라 해의 형태가 상이합니다. 조금 뒤에 자세하게 다루겠습니다.
Step 3 선형조합을 이용해서 일반해를 표현합니다.
특성방정식을 푼 후 $λ$를 구하면 주어진 ODE의 일반해를 표현할 수 있습니다.

여기서 $c_1$과 $c_2$는 초기조건 또는 경계조건에 의해 결정됩니다. 1차 ODE에서 초기조건에 1개가 필요했음을 생각하면, 2차 ODE에서는 2개의 초기조건 또는 2개의 경계조건이 있어야 모든 계수가 결정될 수 있음을 알 수 있습니다. 아래의 글을 읽어보면 미분방정식과 조건설정에 대해 좀 더 이해할 수 있을 것입니다.
부록 1 미분방정식과 조건설정 :: 화공&책 리뷰 (tistory.com)
3. 특성방정식에 따른 해의 형태 구분 (Classification of Solution)
위에서 구했던 특성방정식을 근의 공식을 이용해서 풀 수 있고, 그 결과는 다음과 같습니다.

결국 해의 형태는 모두 일반해처럼 표현됩니다. 하지만 판별식의 부호에 따라 편하게 사용할 수 있는 해의 형태에는 차이가 있습니다. 먼저 그 결과들을 요약해보고, 각각의 경우를 살펴보겠습니다.

1) $D>0$ : Real, two different roots
우선 판별식이 2개의 서로 다른 실근을 가지는 경우 나타나는 해의 방식에 대해 살펴보도록 하겠습니다.

일반해에서 각 기저해들의 계수들은 초기조건에 의해 정해집니다. 단순히 지수의 형태를 이용해서 해를 표현해도 무방하지만, 후에 편미분방정식을 풀이할 때에는 지수형태 보다는 다른 형태를 이용할 때 계산이 편한 경우가 많습니다. 이 경우에는 쌍곡선함수(Hyperbolic Function)이용해서 위의 일반해를 표현할 수 있습니다.

이를 일반해에 대입을 해서 식을 정리할 수 있습니다.

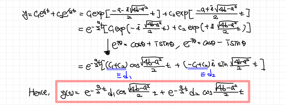
2) $D<0$ : Complex, two different roots
$D>0$일 때와 비슷하게 계산을 할 수 있습니다.

이 경우에는 Euler’s Identity에 의해 알려진 지수함수와 삼각함수의 관계를 이용해서 식을 다시 작성할 수 있습니다.

이를 일반해에 대입해서 다른 형태로 작성할 수 있습니다.

3) $D=0$ : Real, Double Root
중근을 갖는 경우에는 일차독립은 2개의 근을 한번에 찾아낼 수 없습니다. 그렇기에 일전에 배운 차수축소법을 이용할 수 있어야 합니다.

이때 새로 구한 $y_2$가 실제로 $y_1$에 대해 일차독립인지는 론스키안을 이용해서 확인해볼 수 있습니다.

계산결과 론스키안이 1로 반드시 0이 아니기 때문에 $y_2$는 $y_1$에 대해 일차독립인 것을 다시 확인할 수 있습니다.
'전공 개념.zip > 상미분방정식 (ODE's)' 카테고리의 다른 글
| 8. 매개변수 변환법을 이용한 상수계수를 갖는 비제차 2차 상미분방정식의 풀이 (0) | 2022.03.15 |
|---|---|
| 7. 미정계수법을 이용한 상수계수를 갖는 비제차 2차 선형 상미분방정식의 풀이 (0) | 2022.03.14 |
| 5. 라그랑쥐의 차수축소법 (0) | 2022.03.13 |
| 부록 1 미분방정식과 조건설정 (0) | 2022.03.11 |
| 4. 2차 선형 상미분방정식의 전반적인 개념 (0) | 2022.03.11 |