Contents
1. 스투름-리우빌 미분방정식의 개념과 형태 (The Concept and Formula of Sturm-Liouville Differential Equation)
- 스투름-리우빌 미분방정식(Sturm-Liouville Differential Equation)의 개념, 편미분방정식의 풀이를 위해 이 이론이 유효한 이유, 수학적 형태에 대해 같이 생각해볼 것입니다.
2. 스투름-리우빌 연산자와 고윳값 문제 (The Sturm-Liouville Operator and the Eigenvalue Problem)
- 스투름-리우빌 미분방정식의 형태를 조작해서 이 문제가 결국 선형대수학에서 주로 다루던 고윳값 문제(eigenvalue problem)임을 보여보고자 합니다. 그리고 스투름-리우빌 문제를 다루기 위해 필요한 선형대수적 지식을 간단하게 다루어보겠습니다.
1. 스투름-리우빌 미분방정식의 개념과 형태 (The Concept and Formula of Sturm-Liouville Differential Equation)
1) 스투름-리우빌 이론의 필요성 (the Necessity of Sturm-Liouville Theory)
스투름-리우빌 이론은 임의의 2차 선형 상미분방정식(the 2nd order linear ODE)에서 해를 얻을 수 있음을 말하며, 얻어낸 해의 특성들을 설명합니다.
우리가 편미분방정식(PDE)을 공부하고 있음에도 불구하고 2차 상미분방정식과 관련된 내용을 알아두어야 하는지에 대해 얘기해보고자 합니다. 편미분방정식을 관통하는 풀이원리는 아직 밝혀지지 않았습니다. 풀이를 할 수 있는 몇가지 전략들이 있는데 그 중 하나가 변수분리법(Separation of Variables)입니다. 이 방법은 하나의 편미분방정식 문제를 여러개의 상미분방정식 풀이로 바꾸어줍니다. 공학이나 물리학에서는 주로 2차 편미분방정식을 사용합니다. (변수에 대한 최대 미분횟수가 2회인 편미분방정식을 의미합니다.) 그렇기에 변수분리법을 통해 얻은 상미분방정식들은 2차인 경우가 많습니다. 요약하자면, 하나의 편미분방정식 풀이가 변수분리법에 의해 여러개의 상미분방정식, 특히 2차 ODE의 풀이로 바뀌기 때문에 2차 선형 상미분방정식에 대한 이해가 필요한 것입니다.
2) 스투름-리우빌 미분방정식의 형태 (the Formula of Sturm-Liouville Differential Equation)
이제 스투름-리우빌 미분방정식의 형태를 알아보겠습니다.

위와 같이 표현될 수 있는 2차 선형 상미분방정식을 스투름-리우빌 미분방정식입니다. $p(x)$는 이계도함수가 존재해야 위의 식을 풀이할 수 있습니다. $q(x)$에는 특별한 조건이 필요하지 않습니다. 여기서 $r(x)$는 모든 2차 선형 상미분방정식을 스투름-리우빌 미분방정식 형태로 바꾸어주는 가중치함수(weight function)입니다. 조금 있다가 스투름-리우빌 연산자를 이야기할때 같이 다뤄보겠습니다.
2. 스투름-리우빌 연산자와 고윳값 문제 (The Sturm-Liouville Operator and the Eigenvalue Problem)
1) 스투름-리우빌 연산자 (Sturm-Liouville Operator)
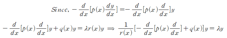
이 미분방정식을 푸는 것은 단순히 해 $y$만 구하는 것이 아니라, 이를 특정짓는 고윳값(eigenvalue) $\lambda$도 같이 구하는 것입니다. 그렇기에 이 미분방정식은 결국 고윳값문제에 해당합니다. 이를 위해 위의 스트룸-리우빌 미분방정식을 변형하겠습니다.

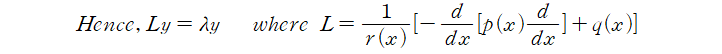
위의 식으로부터 고윳값 문제 형태를 얻어내기 위해 미분연산자에 포함되어 있던 $y$를 분리한 것입니다. 선형대수학에서 배웠던 기억을 떠올리면 위의 형태를 고윳값 문제로 표현할 수 잇습니다. 그 결과는 아래와 같습니다.

이때 여기서 정의한 $L$을 스투름-리우빌 연산자(Sturm-Liouville Operator)라고 합니다. 스투름-리우빌 연산자는 여러가지 특성을 갖고 있는데, 이는 추후에 다루어보기로 하고 지금은 다른 이야기를 먼저 해보려 합니다.
2) 제차 2차 선형 상미분방정식과 스투름-리우빌 미분방정식 사이의 관계 : 동치
스투름-리우빌 문제의 매력적인 점은 '임의의 2차 상미분방정식'을 모두 스투름-리우빌 미분방정식으로 표현하여 해의 특성에 대해 미리 예측하고 성질을 파악할 수 있다는 점입니다. 이 글에서는 제차 2차 선형 상미분방정식(homogeneous 2nd order linear ODE)이 어떻게 스트룸-리우빌 미분방정식으로 표현될 수 있는지를 살펴보겠습니다.
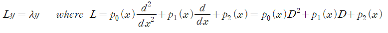
고윳값 문제를 다시 작성하겠습니다.

2차 상미분방정식 문제이므로 미분연산자들을 조합한 새로운 연산자 $L$을 이용해서 위의 문제를 표현한 것입니다. 이제 위 식의 형태를 변형하여 2차 선형 상미분방정식이 모두 스투름-리우빌 미분방정식의 형태를 가질 수 있음을 보이겠습니다.
(1) $p^{(1)}_0(x)=p_1(x)$인 경우
이 경우에 대해 식이 어떻게 정리되는지 살펴보겠습니다.

곱의 미분(product differential)에 의해서 연산자를 다음과 같이 정리할 수 있습니다. 고윳값 문제에 대입해보겠습니다.

$p_0$과 $p_2$는 제약이 딱이 없었기 때문에 이를 잘 조종하면 스투름-리우빌 미분방정식의 형태로 식을 변형할 수 있습니다. 이 경우에는 가중치함수 $r(x)=1$로 별다른 영향이 없는 것을 확인할 수 있습니다.
(2) 일반적인 제차 2차 선형 상미분방정식과 스투름-리우빌 미분방정식 : 가중치함수의 결정
(1)의 경우는 매우 특수한 경우입니다. 해당 조건이 성립하지 않는 미분방정식이 훨씬 많을 것입니다. 그럼에도 불구하고 일반적인 제차 2차 선형 상미분방정식을 스투름-리우빌 미분방정식으로 형태를 바꿀 수 있습니다. 가중치함수(weight fucntion)를 이용할 때 이와 같은 변환이 가능합니다. 가중치 함수 $r(x)$는 2가지 특성을 갖습니다.

$<f,g>_r$은 가중치함수를 고려한 내적(inner product)인데, 해당 내적의 값이 존재하여, 적분이 가능해야 합니다.
이제 가중치 함수를 이용해서 일반적인 미분연산자를 스투름-리우빌 연산자로 조작하는 법을 살펴보겠습니다. 이 변환의 전제는 '가중치 함수를 곱했을 때 해당 미분방정식은 반드시 스투름-리우빌 미분방정식의 형태로 변환될 수 있다'입니다. 즉, 우리는 당면한 미분방정식을 변환할 수 있는 가중치 함수를 결정할 수 있어야 합니다.
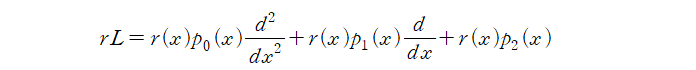
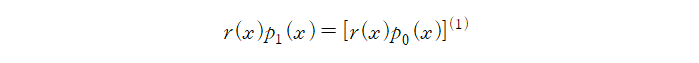
원래의 고윳값 문제에서 가중치 함수를 곱하면 다음과 같습니다.

그리고 새롭게 표현된 미분연산자를 표현할 수 있습니다.

이때 해당 미분연산자가 결국 스투름-리우빌 연산자로 변환이 가능함을 전제로 하기 때문에 해당 조건이 만족할 것입니다.

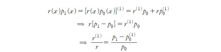
이 관계를 이용하면 가중치 함수 $r(x)$를 구할 수 있을 것입니다. 과정을 같이 살펴보겠습니다.

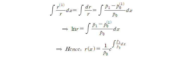
$r(x)$를 결정하기 위해서 변수분리법을 이용할 것입니다. 이를 위해서 좌측항에는 $r$에 대한 식을 우측항에는 $p(x)$에대한 식을 모아 정리했습니다. 적분을 마저 진행하겠습니다.

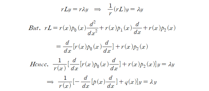
우리가 얻은 가중치 함수 $r(x)$를 곱하면 임의의 미분방정식도 스투름-리우빌 미분방정식의 형태로 바꿀 수 있음을 알게 되었습니다. 연산자를 이용해서 마저 표현해보겠습니다.

$r(x)p_0(x)$와 $r(x)p_2(x)$를 적절하게 조정하면 결국 스투름-리우빌 미분방정식에서 얻어낸 고윳값 문제로 바꿀 수 있게됩니다.
요약하자면, 임의의 2차 선형 상미분방정식은 모두 스투름-리우빌 문제로 바꾸어 표현할 수 있으며, 이 포스팅에서는 제차 2차 선형 상미분방정식에 대해 논의를 한 것입니다.
'전공 개념.zip > 편미분방정식 (PDE's)' 카테고리의 다른 글
| 9. 스트룸 리우빌 연산자의 자기수반성 증명 (Proof of Self Adjoint of Strum Liouville Operator) (0) | 2022.10.11 |
|---|---|
| 8. 초기조건과 경계조건 (Initial Condition and Boundary Condition) (0) | 2022.05.15 |
| 6. 푸리에 변환 (Fourier Transformation) (1) | 2022.05.12 |
| 5. 푸리에 적분 (Fourier Integral) (1) | 2022.05.04 |
| 4. 복소수 형태로 표현한 푸리에 급수 (Complex Form of Fourier Series) (0) | 2022.05.03 |