Contents Preview
스트룸-리우빌 연산자가 자기수반성을 가짐을 보이며, 사실은 이 연산자가 에르미트 연산자(Hermitian Operator)임을 보일 것입니다.
스트룸-리우빌 연산자는 특정 공간 안에서 자기수반성을 갖습니다. 이를 증명하도록 하겠습니다.
<증명 1> 일반적인 경계조건에 대한 스트룸-리우빌 연산자의 자기수반성

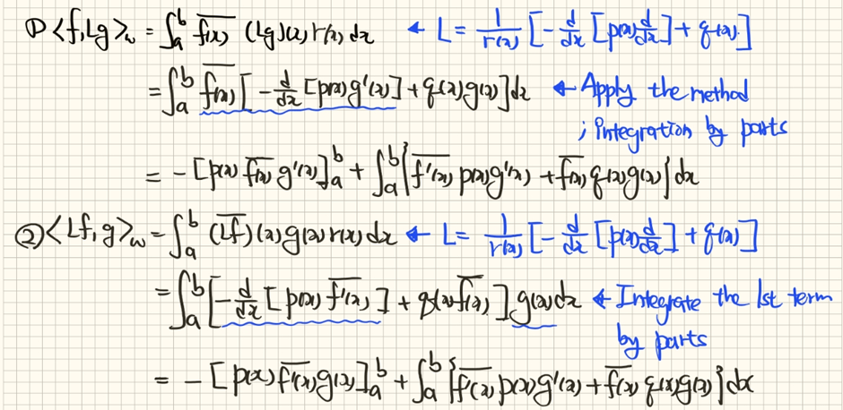
본격적인 증명에 앞서 한가지를 살펴보겠습니다. 연산자를 각기 다른 함수에 취했을 때 그 내적 결과가 같을 때, 우리는 이 연산자가 자기수반성을 갖는다고 말할 수 있습니다. 하지만, 우리는 어떠한 연산자를 켤레화하고(Conjugation) 전치(Transpose)했을 때에도 기존의 연산자와 같을 때 자기수반성을 갖는다고 알고 있습니다. 내적을 이용해서 위처럼 증명을 시작해도 자기수반성임을 보일 수 있는지 살펴보겠습니다.

이처럼 켤레화를 했을 때 연산자의 위치가 변하고, 이를 이용하면 내적을 이용해서도 자기수반성을 표현할 수 있게 됩니다, 계속 증명을 이어나가겠습니다.

각각의 내적을 진행했고, 그 결과를 얻을 수 있었습니다. 식을 정리하기 위해서 부분적분법(Integrate by parts)를 이용한 것을 확인할 수 있습니다. 이제 이 둘 이 같아질 수 있음을 확인하기 위해 두 항을 빼보겠습니다.

만약 두 내적의 차가 0이였다면 우리는 바로 증명을 마칠 수 있었을 것입니다. 하지만 어떠한 값들의 조합이 결과로 나온 것을 확인할 수 있습니다. 이를 소거하기 위해서 우리는 경계조건(boundary condition)을 확인해야 합니다. 우선, 일반적인 제차의 경계조건(homogeneous Boundary Condition을 설정해보겠습니다.

그리고 이 경계조건을 켤례화할 수 있습니다. 켤례화를 한다고 하더라도 제차 형태의 식이므로 값에는 변동이 없을 것입니다.

주어진 조건, 그리고 켤례화한 조건을 변형하여 관계식을 얻을 수 있습니다.

이를 식 (*)에 대입하여 정리할 수 있고 그 결과는 다음과 같습니다.

<증명 2> 특수한 형태의 경계조건에 대한 스트룸-리우빌 연산자의 자기수반성
만약 경계조건의 계수가 0을 포함하고 있어 어떠한 유리식의 형태로 식을 정리할 수 없는 경우도 있을 것입니다. 이때에도 해당 증명은 성립하며, 각 조건에 대해 살펴보겠습니다.
(1) Dirichlet Boundary Condition
이 조건에서는 변화 정도를 표현하는 계수 d가 0입니다. 이를 이용해서 조건을 다시 쓸 수 있고, 식을 정리할 수 있습니다.

(2) Neumann Boundary Condition
이 조건에서는 상태를 표현하는 계수 c가 0입니다. 마찬가지로 조건을 다시 작성하고, 식을 정리하여 자기수반성을 보일 수 있습니다.

(3) Periodic Boundary Conditon
한편, 주기성을 보이는 경계조건에 대해서도 자기수반성이 성립하는데, 이를 보이면 다음과 같습니다.

지금까지 스트룸-리우빌의 자기수반성 증명을 살펴보았습니다. 이 특성은 스트룸-리우빌 연산자는 자기수반성을 가지며, 이 연산자를 에르미트 연산자로 생각할 수 있음을 나타냅니다. 에르미트 연산자의 특성을 공유합니다. 다음 글들에서는 여러 특성들 중에서 중요한 특성 2가지에 대해 더 알아보도록 하겠습니다.